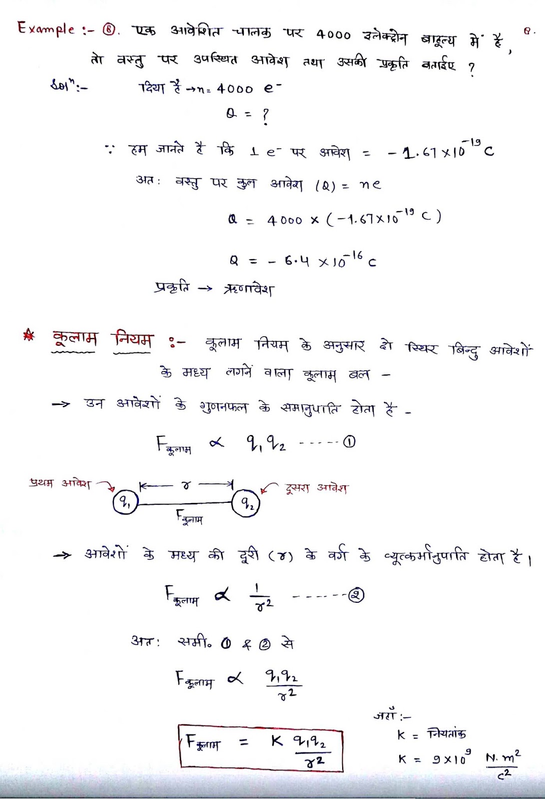
Haruga
Arjun Thori / Top keywords % of search traffic.